image

Tutorily tmaticky zamen

Jak modelovat dle pedlohy st�l� odkaz / permalink

9.8.2022

Je to asi nejzkladnj otzka tch, co chtj modelovat auta, lod, letadla teba pro poteby 3D tisku. Jak modelovat obecn tvary. Vytaenm z jednoduchch geometrick tvar a zaoblovnm prost neudlate karosrii oktvky! image

Jedna cesta je prce s plochami. Zde je ukzn princip:

image anglicky

Tady je druh cesta, forms:

image anglicky

Jak vymodelovat ebro kdla st�l� odkaz / permalink

16.9.2019

Nmt jak vymodelovat - nakreslit ebra kdla. Je to jen ukzka monho postupu, nabdka nstroj, od technick praxe je to dost vzdlen. Ale pro zatenka dobr ukzka.

image anglicky

9:20

  • loft vznikl mezi zdvma koncovmi profily - spline kivkami
  • dvma konstruknmi rovinami rovnobnma s koenovm ebrem vyzne z tlesa kdla "pltek" ebra

12:15

  • loft vytvo ve workspace PATCH
  • Create sketch v rovin koenovho ebra
  • Rectangle v mst koenovho ebra pes celou plochu profilu
  • obdlnk ukotvit k nbce a opatit dimenzemi
  • Create Patch
  • Create Pattern Rectangular - rozkoprovat obdlnk do pozic eber
  • Create Offset - tlouka eber
  • Create Boundary - vytvo opt "pltky eber"

Tutorial se vbec nezabv dalmi konstruknmi prvky kdla jako jsou nosnk kdla s psnicemi, nbka, odtokovka atd. Je to tedy spe takov cvien ne praktick nvod pro kreslen kdla.

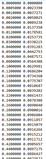
Jak dostat ze souadnic vkres profilu st�l� odkaz / permalink

17.9.2019

Tvrci profil publikuj profily jako tabulku souadnic:

image

My ale potebujeme profil nakreslen. Na pape nebo v CAD programu. Jak jeho tvar z takov tabulky dostat?

Aplikace: Airfoil DAT to Spline

image anglicky monost zapnout esk titulky

How To Start Designing RC Airplanes in Fusion 360 Tutorial st�l� odkaz / permalink

16.1.2021

Tutorial kreslen modelu ve Autodesk Fusion:

vod - dl 0 (image anglicky)

Viz tak web RC CAD2Vr

V vodnm dlu Terrance ukazuje, jak vlo do vkresu obrzek - bitmapu, kter slou jako pedloha pro kreslen. Bokorys, pdorys a eln pohled. V praxi asto narazte na problm, e vkres, kter jste zskali jako pedlohu, nen korektn nakreslen nebo nen korektn reprodukovn. Pdorysy, bokorysy a ezy nemus bt nakresleny v mtku, nemus sedt rozmry nalevo a napravo od osy, osy dl nemus bt rovnobn s okraji obrzku atp. To co Terrance pedvedl pi vkldn canvas pro bokorys, pdorys a nrys me bt v jinm ppad o dost pracnj zleitost.

Plat tak, e nen dobr brt takov vkres jako stoprocentn pravdu. Kdy budete modelovat tvary vaeho stroje podle takov pedlohy a budete se dret ar pedlohy, zjistte, e tvar nejde zkonstruovat, e tvrce nkter ry a tvary jen odhadl. A kdy budete mt vkresy od dvou tvrc, budete muset jet rozhodovat, kter z vkres je pravdivj. image

V 9:20 zakld Terrance profil trupu, vbec se nezabv tm, e mu krunice nesed s podkladovm vkresem a cel trup tak vi centroplnu posouv nahoru. Takovto posuny a nepesnosti asto vedou k tomu, e se zmn vzhled a vzjemn proporce letadla a je to mnohdy vidt na hotovm modelu.

Terrance se do tto chvle nezabval velikost toho, co kresl. Kdy potom vytv prvn "body", mohla by to bt pepka, a pomoc ofsetu dimenzuje jej sti, je to z hlediska konstrukce jen takov hran. Jestli pro ku sti dlu posouv ofset o nco mezi jednm a dvma milimetry, nem to s praktickm dimenzovnm dl nic spolenho. Bude to z pekliky? Z kompozitu? Plechu? Kad materil vyaduje jin dimenzovn. Kdy replikuje pepku po dlce trupu, nebere vbec v potaz pozici zaven kdla.

V 17:37 ukazuje Terrance doplnn pepky o dal vztu. Dlat to pes vytven dalho body je pracn, praktitj je udlat to v pvodnm skei. Terrance k, e to takto dl pro nzornost, zdrazuje monost pracovat se symetri. Zahrvat si ale s pkazem Delete nen dobr pklad. Vymazat njak objekt vtinou znamen naruit nvaznost ske a objekt vzniklch pozdji.

dl 1 - kdlo

V popisku videa je toto doporuen: "If you cant rotate construction planes, this is an indication that you are in parametric modeling mode. You must turn this off by right clicking on the top component, and turning off design history. Alternatively, you can use the gear icon in the bottom right of your screen on the timeline and turn design history off there."" Terrence nabd vypnout historii a zruit tak funkci parametrickho modelovn. To, e pi svm kreslen parametrick modelovn nepouv je vidt u z toho, jak vytv rovinu koenu kdla, k obrysu trupu ji pisouv jen piblin. To je celkem zsadn rozhodnut vzdt se parametrickho modelovn.

Terrance ukazuje v tomto dlu pouit add-onu Airfoil DAT to Spline, kter z parametrickho popisu profilu v DAT souboru (souadnice) vytvo spline kivku.

dl 2 - stojiny a ebra

V tomto dlu uvd Terrance prci s komponentami, rozdluje konstrukci do komponent. Pro nosnky, pesnji eeno jejich stojiny konstruuje svisl roviny. Pro kad ebro vytv rovinu a v rovin plochu.

Povrch kdla dl jako loft, pozor ale, dl to v zloce FORM! Pro, to jsem nepochopil.

Polohu eber m bez vazby na zaven klapek, jejich dlen, zaven motor, podobn poloha stojin je jen "od oka".

dl 3 - nosnky, zmky

Opravy zmk protlaovnm je zbyten pracn. D se to dlat jednodueji.

dl 4

dl 5

dl 6

Poznmka: Neberte tato videa jako nvod, jak konstruovat vae modely. Terrance sm uvd, e s tmto konkem prv zan. Vechny obrzky na jeho webu jsou rendery, tedy ne fotografie skutench dl a sestav, ale jen potaem generovan obrzky. Jako ukzka toho, jak pracovat s Autodesk Fusion, je to ale zdroj dobr.


zpatky Tipy a triky pro modelovn v Autodesk Fusion Tutorily kreslen model dal


pehled kapitol:

  1. Fusion 360
  2. Naum se Fusion 360!
  3. Vlastnosti
  4. Vagn
  5. Nvody, tutorily
  6. Mj pohled na Fusion 360
  7. Strategie a taktika
  8. Strategie a taktika 2
  9. Tipy a triky pro modelovn v Autodesk Fusion
  10. Tutorily tmaticky zamen
  11. Tutorily kreslen model
  12. Komplexn ukzky prce
  13. Cvien
  14. Vlastn materily
  15. Pro, na
  16. Pluginy
  17. Animace
  18. Fusion 360 - MANUFACTURE (vroba)
  19. Poznmky
  20. Na co si dvm pozor
  21. Jak rychle pipravit dly pro ezn
  22. Volnoplon modelovn, T-spline
  23. Tutorily k volnoplonmu modelovn
  24. Klvesov zkratky k volnoplonmu modelovn
  25. Tutorily pro 3D
  26. Problmy
  27. Skripty, makra, programovn, API
  28. Na zvr
  29. Novinky ve Fusion 360
  30. Sprva
  31. Sprva - Preferences
  32. Klvesov zkratky
  33. Fusion 360 a router Stepcraft
  34. Fusion 360 a router Lupa
  35. Fusion 360 a 3D tiskrna Pra
  36. Fusion 360 a STL
  37. Prce s STL
  38. Zdroje
  39. Fusion 360 - Co s tm dlm
  40. Modely ke staen

(zveejnno v rubrice Modely letadel | Dlna | CNC router Stepcraft-2/D.600 | Autodesk Fusion)